市教育考试院介绍,2022年上海市普通高校招生本科普通批次第一次征求志愿已完成录取。考生可通过“上海招考热线”网站(www.shmeea.edu.cn)查询本科普通批次第一次征求志愿录取结果。
根据高招录取日程安排,本科普通批次第二次征求志愿将于8月20日上午10:00至晚上22:00、21日上午7:00至10:00进行填报。
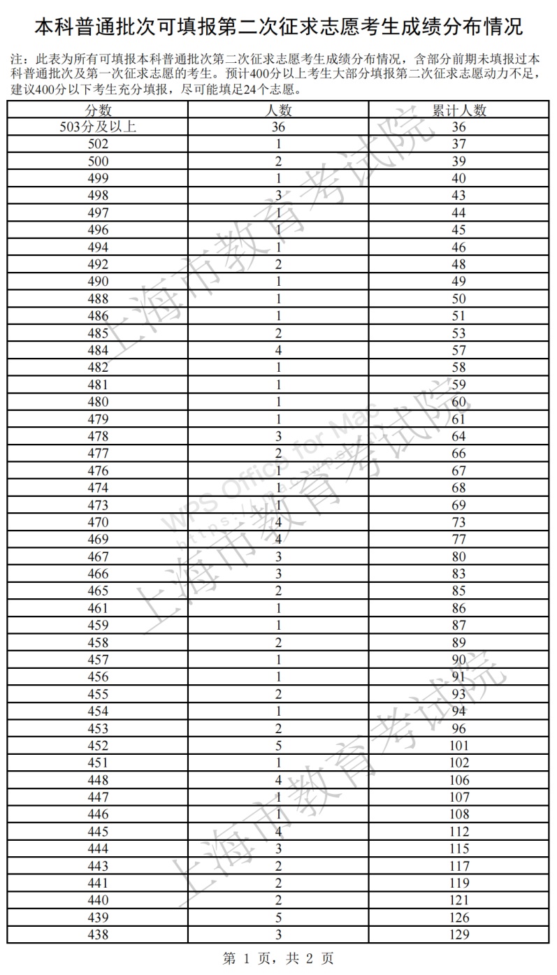
高考总分在本科普通批次第二次征求志愿降分控制线上(385分及以上)的未录取考生可登录“上海招考热线”网站填报第二次征求志愿(具体填报办法详见文末)。市教育考试院已在“上海招考热线”网站公布了“本科普通批次第二次征求志愿院校专业组缺额计划表”(点击“阅读原文”查看),认可降分录取的院校专业组已在缺额计划表中独立呈现。市教育考试院还提供了“本科普通批次可填报第二次征求志愿考生成绩分布表”(详见文末),用以填报参考。根据第一次征求志愿填报情况,预计大部分400分以上考生填报第二次征求志愿动力不足,建议400分以下考生充分填报,尽可能填足24个志愿。
填报系统将于8月21日上午10:00关闭,之后不再接受考生填报或修改志愿。
本科普通批次可填报第二次征求志愿考生成绩分布情况




点击“阅读原文”,查看“本科普通批次第二次征求志愿院校专业组缺额计划表”。
来源:上海发布
编辑:朱人杰