
2022年8月2日,同济大学附属同济医院、同济大学附属养志康复医院靳令经教授团队,联合科大讯飞苏州研究院支洪平研究团队,在Nature合作期刊npj Parkinson’s Disease杂志线上发表了最新研究成果“A summary index derived from Kinect to evaluate postural abnormalities severity in Parkinson’s Disease patients”,提出了帕金森病(Parkinson’s Disease, PD)躯干姿势异常评估新指标,即躯干姿势异常指数 (the index for postural abnormalities, IPA),实现了PD躯干姿势异常严重程度的客观、量化评估,还可用于PD与同龄健康人的鉴别,以及PD有无躯干姿势异常的鉴别,具有很好的敏感性、特异性和准确性。同时该研究进一步证实了躯干姿势异常作为PD的核心表现,贯穿疾病始终,为认识PD躯干姿势异常的动态演变过程提供了新思路。

躯干姿势异常是PD患者常见的致残运动并发症,起病隐匿,且随着疾病进展而逐渐加重,早期识别PD躯干姿势异常有助于疾病的诊断和及时干预,从而改善临床结局。传统的临床评估方法包括临床量表、壁式测角仪和基于照片的测量方法等。但临床量表主观性强、不够敏感,难以做到客观、定量评估。壁式测角仪和基于照片的测量方法可以提供准确、定量的角度,但只能反映某一平面的姿势异常而不能对患者整体的躯干姿势质量进行评估。
面对这一现状,课题组前期研发出基于深度摄像机和机器学习的智能化评估系统(Zhang, Z. et al. J. Neuroeng. Rehabil. 18, 169 (2021)),利用提取的六个量化躯干姿势异常的参数F1, F2, F3, F4, F5 及 F7 (图1)实现了PD躯干姿势异常的自动化、精细化、多角度评估。在此基础上,团队提出综合了六个所选参数的PD躯干姿势异常指数(IPA),其数值被定义为六个被选参数与其对应重要性占比的乘积之和。

图1
图1. 六个所选参数F1、F2、F3、F4、F5 和 F7 的示意图。缩写:MH,头部中点;MN,颈部中点;VL,地面的垂线;C7,第七颈椎棘突;L5,第五腰椎棘突;LM,外踝;FC,脊柱最突出点。
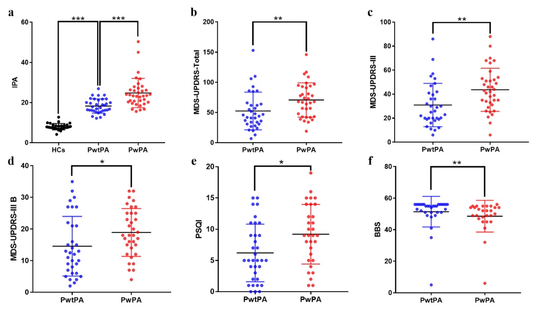
课题组将PD患者分为有躯干姿势异常(PwPA, PD with postural abnormalities)组和无躯干姿势异常(PwtPA, PD without postural abnormalities)组。进一步研究发现,IPA在PD患者和健康对照之间,以及PwPA与PwtPA组之间具有显著差异(p < 0.05)。并且一些常见的反映PD患者生活质量、运动功能的临床量表在PwPA与PwtPA组之间亦存在显著差异(p < 0.05)(图2)。

图2
图2. 受试者的床特点。(a)PD患者和健康对照之间,以及PwPA与PwtPA组之间的IPA比较;(b-f) PwPA与PwtPA组之间的临床评估比较。缩写:PwPA,有躯干姿势异常;PwtPA,无躯干姿势异常;HCs,健康对照;IPA,躯干姿势异常指数;MDS-UPDRS,运动障碍协会赞助的统一帕金森病评定量表修订版;PSQI,匹兹堡睡眠质量指数;BBS,Berg平衡量表。*表示p < 0.05;**表示p < 0.01;***表示p < 0.001。
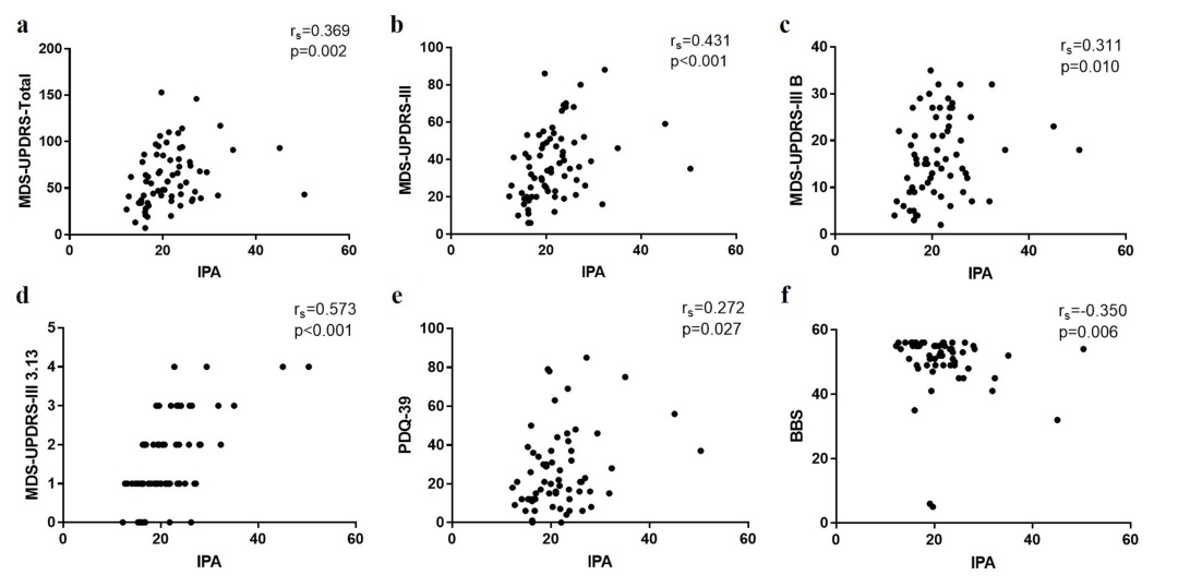
此外,课题组探究了IPA与临床评估的相关关系,发现IPA与一些常见的反映PD患者生活质量、运动功能的临床量表评分显著相关(p < 0.05)(图3)。

图3
图3. IPA与临床评估的相关性。Spearman相关分析显示IPA与MDS-UPDRS, MDS-UPDRS-III, MDS-UPDRS-III B, MDS-UPDRS-III 3,13, PDQ-39和BBS等临床量表评分显著相关(a-f)。缩写同前。
最后,课题组将IPA用于PD与同龄健康对照的鉴别,以及PD有无躯干姿势异常的鉴别。受试者工作特征(Receiver operating characteristic, ROC)曲线分析提示IPA区分PD和健康对照的最佳临界值为12.96,敏感性、特异性、曲线下面积(area under the curve, AUC)和调整性别后的AUC分别为97.14%、100.00%、0.999 (0.997–1.002, p <0.001)和0.998(0.993–1.000, p <0.001)(图4a,b)。IPA区分PwPA和PwtPA的最佳临界值为20.14,敏感性、特异性、AUC 和调整病程、Hoehn-Yahr分级后的AUC分别为77.78%、73.53%、0.817(0.720-0.914,p <0.001)和0.783(0.631-0.900,p <0.001)(图 4c,d)。

图4
图4. ROC分析用于确认IPA的最佳临界值。用于区分PD和健康对照的ROC曲线,调整(b)和未调整性别(a)。用于区分PwPA和PwtPA的ROC曲线,调整 (d)和未调整病程和Hoehn-Yahr分级(c)。缩写同前。
综上所述,课题组的研究提出了IPA,这是一个有助于解释复杂且高度相互依赖的运动学参数的综合指标,可对PD整体的躯干姿势质量进行评估。它是评估PD躯干姿势异常临床严重程度,区分PD和同龄健康人,以及PD有无躯干姿势异常的一个有效工具,为认识PD躯干姿势异常的动态演变过程提供了新思路。
同济大学附属同济医院2020级博士研究生洪荣华、神经内科主治医师张天宇、医师张卓玉为该文章共同第一作者。同济大学长聘特聘教授靳令经、同济大学附属同济医院神经内科管强教授为该文章共同通讯作者。同济大学附属同济医院神经内科副主任医师潘丽珍、主治医师李丽喜,研究生吴壮、林傲、彭康雯等人参与临床数据收集。科大讯飞苏州研究院支洪平、高逸晨、苏晓芸和金玥等核心研究人员参与软件开发并支撑相关研究开展。2018年,同济大学医学院郑加麟院长与科大讯飞签署战略合作协议,双方强强联手,致力于优势互补,共建“脑智同飞联合研究中心”,围绕人工智能领域开展“脑与脊髓相关科学领域的认知障碍、麻醉、运动障碍”等前瞻核心技术的研发工作,探索相关人工智能技术成果的产业化机会,为健康上海、健康中国助力。本系列研究是“脑智同飞”合作框架下的阶段性成果,得到国家重点研发计划、上海市市科委项目、上海市申康医院发展中心项目等资助。

图:靳令经教授研究团队成员合影
论文链接:https://www.nature.com/articles/s41531-022-00368-x
文 | 神经内科
编辑 | 赵思思
校审 | 谢壮丽