我的位置: 上观号 > 上海住房城乡建设管理 > 文章详情

【公示】2022年7月本市建设工程安全生产标准化竣工工地信息公示

转自:上海住房城乡建设管理 2022-08-03 11:50:08

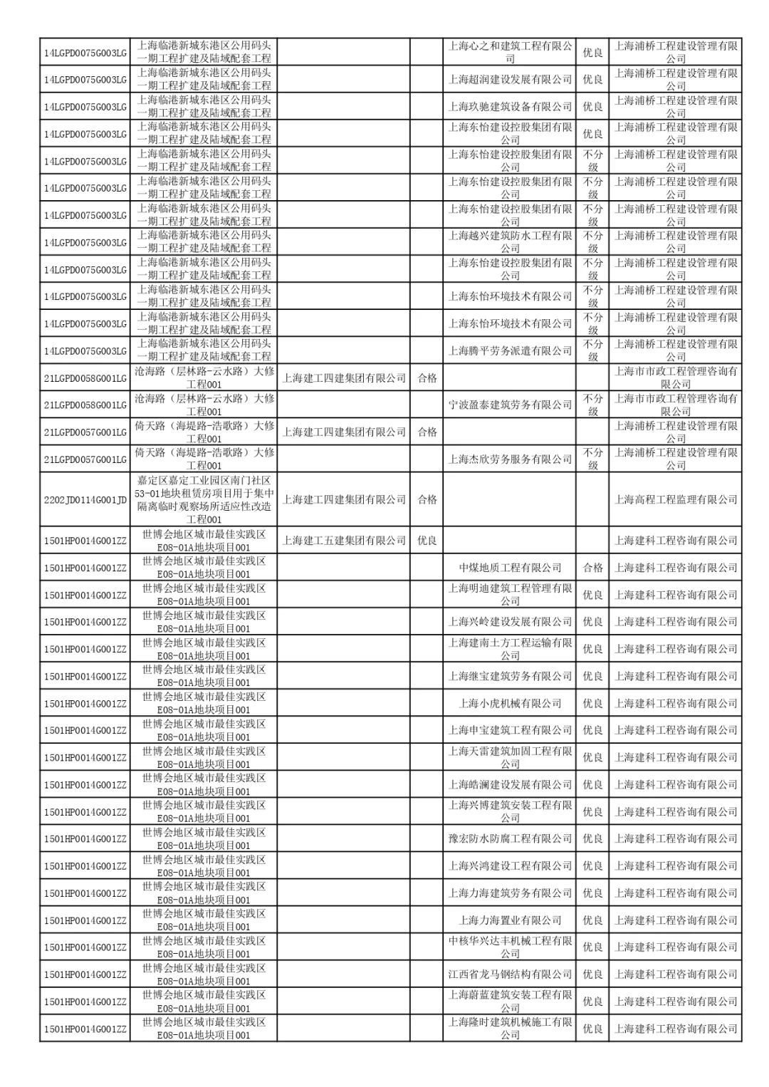
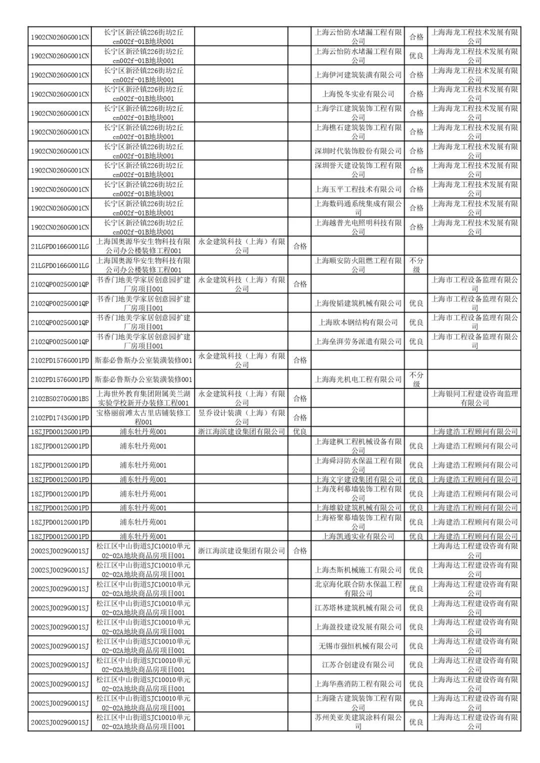
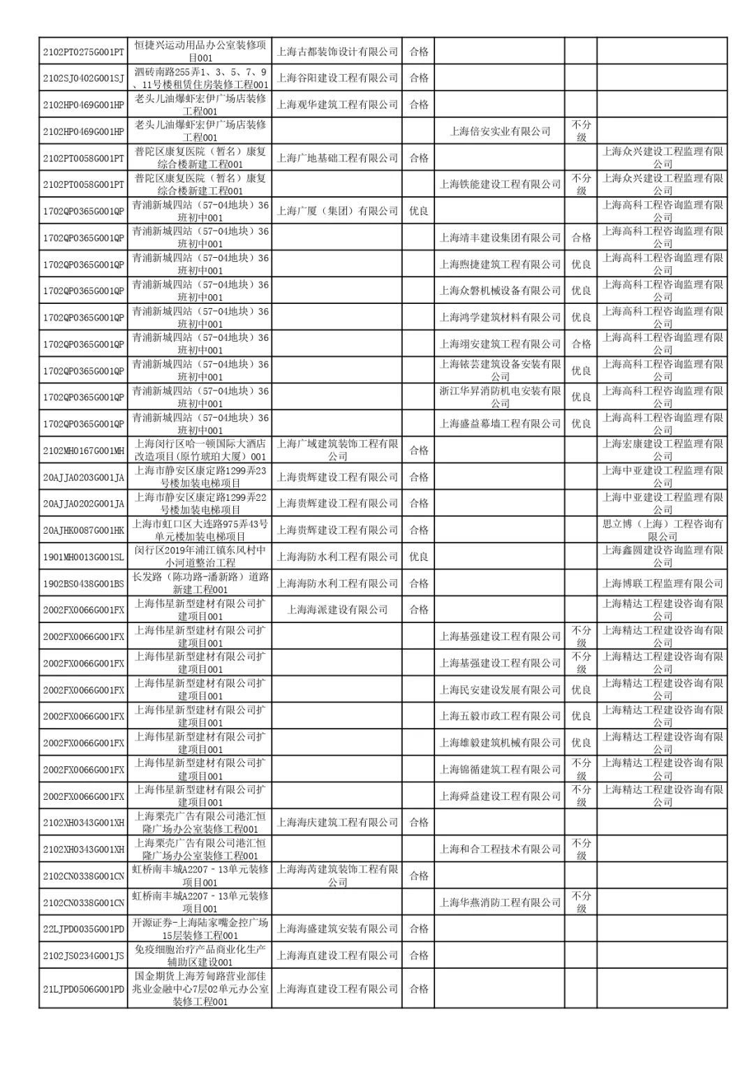
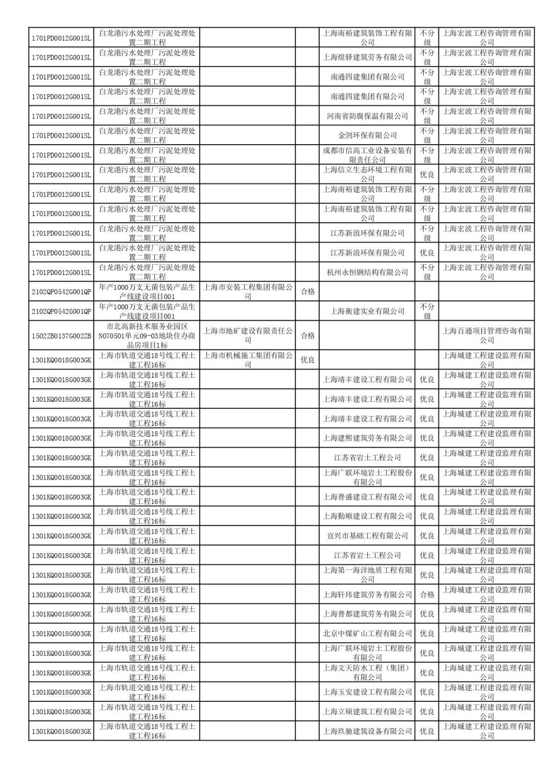
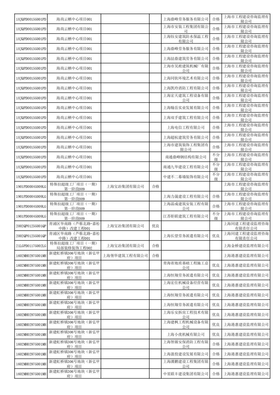
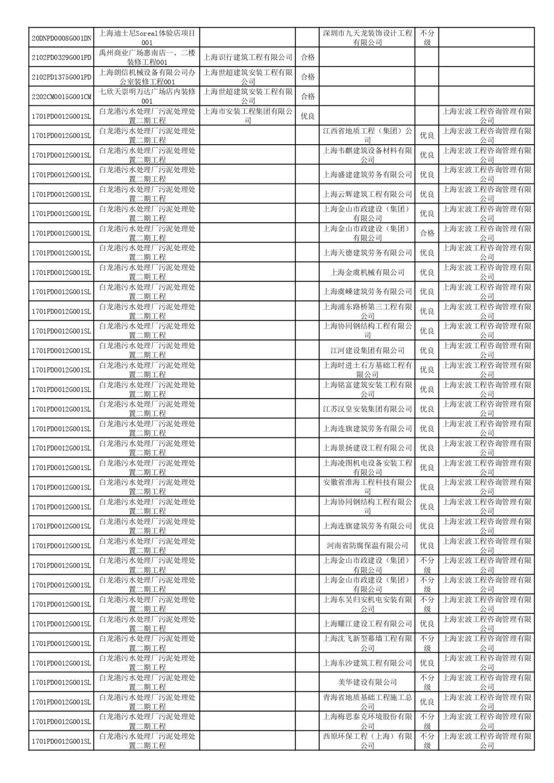
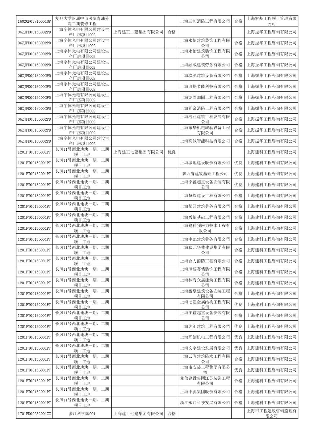
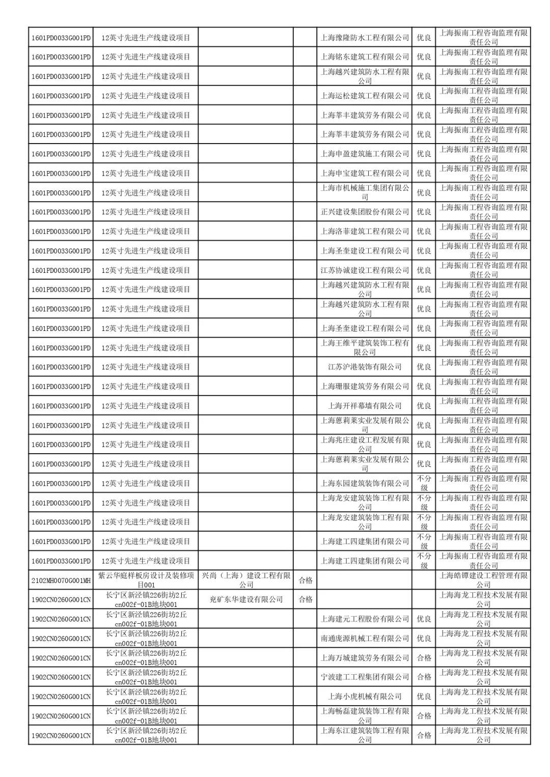
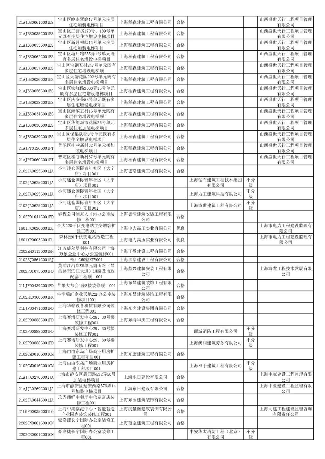
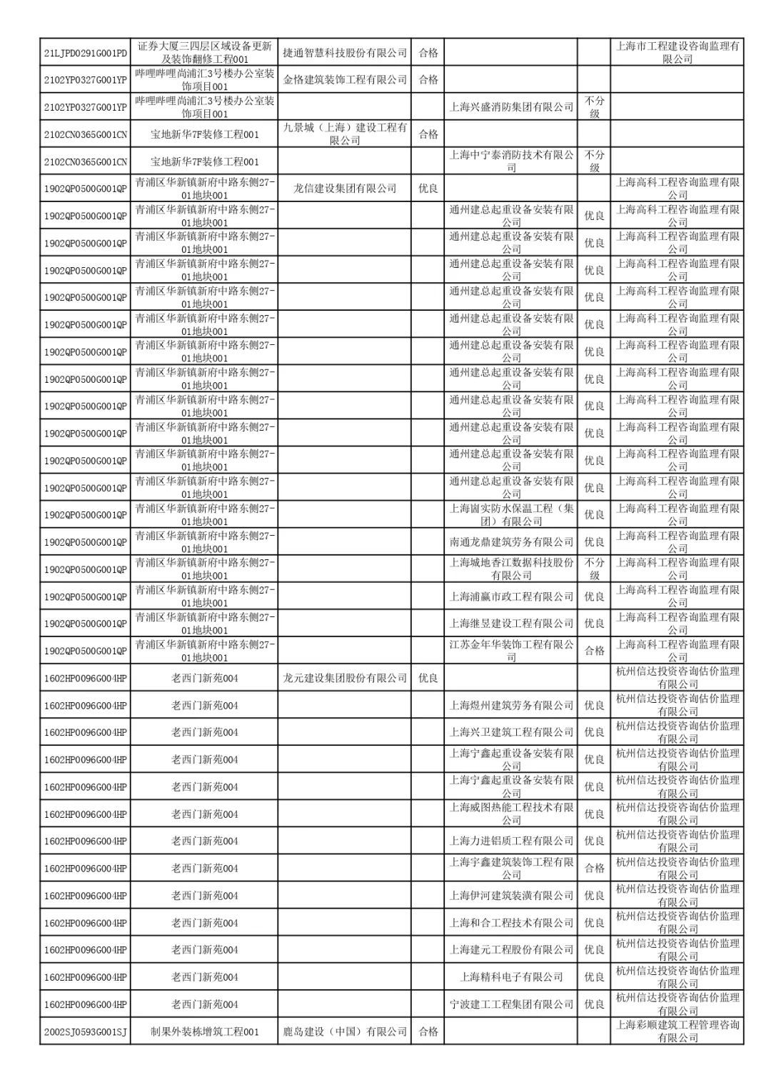
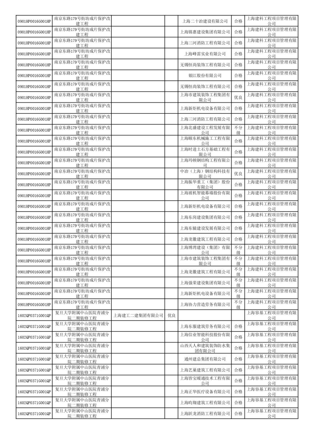
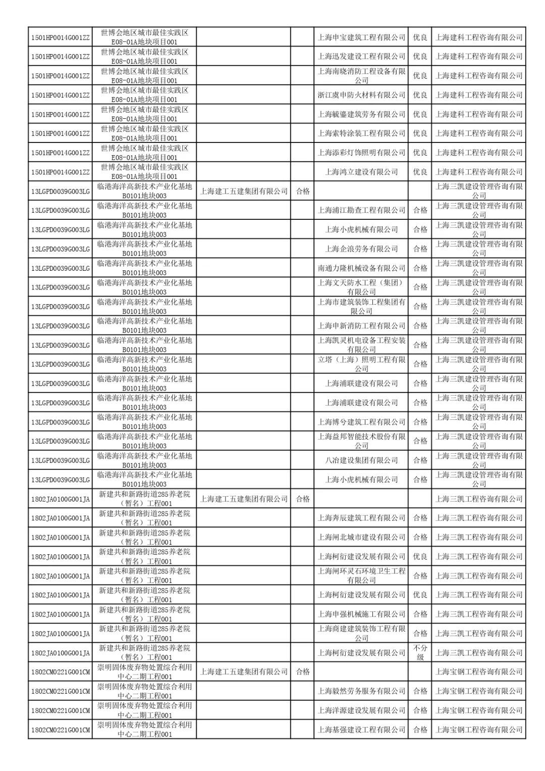
根据《上海市建筑施工安全生产标准化考评规范》规定,现对2022年7月本市建设工程安全生产标准化考评的竣工工地进行公示。具体工地名单,详见↓

7月竣工工地名单

(上下滑动查看具体名单)

END –

资料:市安质监总站

编辑:张译文

责任编辑:施伟华

来稿请投:zjwxwxczx@163.com

上海市住房和城乡建设管理委员会新闻宣传中心