来源 | 英国医学杂志
编译 | 公子欣

日前,在线发表在《心脏》杂志上的一项研究表明,在70岁-75岁每天进行20分钟中高强度的运动,可以最好地避免80岁以上的主要心脏病,包括心力衰竭。
众所周知,无论性别和种族,体育活动都与降低心血管疾病风险和延长寿命有关,而且益处与所付出的努力成正比。但是,专门针对晚年运动是否有助于预防老年心脏病和中风的研究却相对较少。为了填补这一知识空白,研究人员利用了来自Progetto Veneto Anziani(ProVA)的数据,对3099名65岁及以上的意大利老年人进行了研究。
研究对参与者在1995年至1997年期间进行了基线评估,包括详细病史、体格检查、扫描和一系列血液测试,并在4年和7年后又进行了两次随访。在研究开始时,女性比男性更有可能同时患有4种以上的疾病,骨关节炎、骨质疏松症和慢性肾病的发病率更高;慢性阻塞性肺病和糖尿病在男性中更为常见。
参与者在70岁、75岁、80岁、85岁的每个时间点填写了有关体育活动水平的问卷。中度体育活动包括散步、滚球和钓鱼,而剧烈的体育活动包括园艺、健身、骑自行车、跳舞和游泳。每天运动时间累计达20分钟或以上被定义为活跃;少于这个时间被定义为不活跃。

研究还收集了家庭收入、教育程度、家庭成员人数、吸烟、饮酒等其他潜在的关键背景信息,然后通过医院出院记录和死亡证明跟踪所有参与者的健康状况,直至2018年12月底。最终的分析包括2754名数据完整的参与者,其中1398名是女性(60%)。在监测期间,新增心脏病、心力衰竭和中风的诊断1037例。
无论男性还是女性,增加身体活动水平以及长期保持积极的生活方式,都与降低心血管疾病和死亡风险有关。
随着时间的推移,大多数参与者都有稳定的活跃的体育活动模式。与具有稳定的低运动量模式的男性相比,具有稳定的高运动量模式的男性患心血管疾病的风险显著降低(52%)。

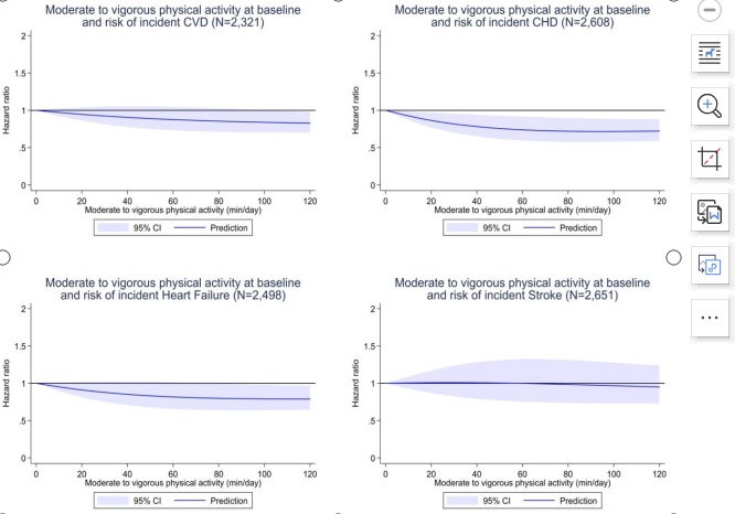
与每天至少20分钟体力活动相关的任何心血管病的风险降低在70岁时最为显著,也就是说最大的益处出现在70岁时。研究人员称,75岁时的心血管病风险仅略微降低,而80岁—85岁时的风险则没有显著相关性,这表明在老年早期加强体育锻炼可能会产生最大的影响。
研究人员还观察到运动长度呈“j”形曲线,每天进行20至40分钟的中高强度运动,心脏病和心力衰竭的减少最为明显。没有观察到身体活动和中风之间的显著联系。
虽然观察到的关联在男性中最为明显,但研究人员强调:
从事更多体育活动的女性几乎所有心血管疾病的发病率都始终较低,尽管风险降低的事实没有达到统计意义,但涉及到总体死亡率时,风险显著降低。

这是一项观察性研究,尚不能确定原因。研究人员指出,这项研究依赖于参与者的回忆,身体活动水平是主观评估的,且没有关于中年身体活动水平的数据,所有这些都可能影响到晚年的心血管风险状况。但他们得出结论:这些结果表明,公共卫生政策应该以促进或开始在中年和晚年的体育活动为目标,因为这可能在降低心血管风险方面更有效。
“
为了获得最大的心血管益处,建议每天至少进行20分钟中到高强度的体育活动。
在一篇相关社论中,意大利里雅斯特大学的Enrico Fabris博士和Gianfranco Sinagra博士解释说,体育活动有助于改善动脉血液流动,并可能减少其粘性,从而减少血栓的形成。然而,体育活动能够降低未来心血管疾病风险的详细机制仍未完全了解。其有利效果可能简单地解释为,它能够通过更好地控制血压、血糖水平和血脂水平,减缓动脉粥样硬化过程。
总而言之,
运动就是良药。
老年人亦是如此。
行动起来,越早越好!

数据图及参考来源:https://heart.bmj.com/content/108/5/360