编译:高杰
“张阿姨最近很苦恼,
刚查出高血压,又被诊断出糖尿病。”
这种一人患多种慢性病的情况,
在老年人群中越来越常见。
近日发表在《自然·衰老》上的一项研究
带来了好消息:
通过调整饮食,
能延缓多种疾病的发生和发展。

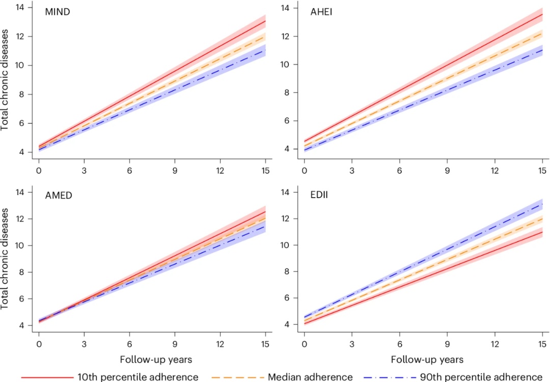
这项针对2473名瑞典老年人的研究追踪长达15年,发现饮食模式与老年多发病(即同时患两种或以上慢性病)的积累速度密切相关。
研究比较了4种主流饮食模式,结果令人瞩目:坚持MIND饮食(地中海-DASH混合饮食)、AHEI饮食(根据AHEI指数评分较高的健康饮食)和AMED饮食(简化版地中海饮食)的老年人,每年新增慢性病的风险显著降低;而遵循EDII饮食(根据EDII指数评分较高的促炎饮食)的人,患病速度明显加快。
具体来说,每增加一个标准差的健康饮食依从性,MIND饮食能减少4.9%的慢性病积累,AHEI效果更优,达5.1%,AMED则为3.1%。相反,EDII每升高一个标准差,慢性病积累速度会增加5.3%。

这3种有益的饮食模式虽然名称不同,但核心原则却惊人地相似——都强调多吃蔬菜、水果、全谷物、坚果和豆类,适量摄入鱼类和健康油脂,限制红肉、加工肉类和精制糖的摄入。这些共同特点构成了“抗炎饮食”的基础,能够有效抑制体内慢性炎症,从而延缓多种疾病的发生发展。
MIND和AHEI饮食是其中的佼佼者。地中海饮食以植物性食物为主,强调橄榄油的使用,适量食用鱼类和乳制品,少量摄入红肉。DASH饮食则注重低钠高钾,富含镁和钙的食物。研究发现,地中海饮食在预防心脏病和认知衰退方面略胜一筹,而DASH饮食在降低血压上效果更明显。

与健康饮食形成鲜明对比的是促炎饮食模式。研究发现,经常食用红肉、加工肉类、高糖食物、反式脂肪和油炸食品,会显著增加体内炎症水平。这些食物不仅会加速慢性病的积累,还会增加阿尔茨海默病的风险。
更令人担忧的是,这些促炎食物在我们的日常饮食中随处可见:早餐的培根火腿、午餐的油炸食品、下午茶的含糖饮料、晚餐的红烧肉类,甚至零食柜里的各种加工食品……长期摄入这些食物,相当于为身体埋下了“炎症炸弹”。

研究还发现,饮食模式对不同器官系统的影响存在差异。健康饮食对心血管和神经精神系统的保护作用尤为明显,但对肌肉骨骼疾病的影响较小。这提示我们,预防不同类型的疾病可能需要采取更有针对性的饮食策略。
此外,饮食对健康的影响还存在性别和年龄差异。虽然具体机制尚不完全清楚,但这一发现提醒我们,饮食建议需要因人而异。例如,老年女性可能需要更多的抗氧化食物来保护神经认知功能,而男性则可能需要更严格地控制红肉摄入以降低心血管疾病风险。
值得注意的是,不要试图一次性改变所有饮食习惯,可以从每周增加几次鱼类摄入开始,或者用坚果代替薯片作为零食。循序渐进的改变更容易坚持,长期下来也能带来显著的健康益处。
这项研究的重要意义在于,与基因等不可控因素相比,调整饮食是我们每个人都能做到的,也是预防老年多发病最经济有效的方法之一。未来的膳食指南、公共卫生策略和临床实践应该为老年人提供更加科学和个性化的饮食建议。
每一口健康的选择,
都是对未来健康的投资。
从下一餐开始,
为自己的健康晚年打下坚实基础!
数据图及参考来源:
https://www.nature.com/articles/s43587-025-00929-8