中国饮食文化源远流长,八大菜系更是各具特色,然而满足味蕾之外,这些菜系在营养和健康方面又有怎样的表现呢?
近日,来自首都医科大学附属北京世纪坛医院的研究者在BMC Nutrition期刊上发表了一项研究,分析了中国八大菜系的营养成分和膳食炎症指数(DII),发现川菜抗炎菜品比例最高,而徽菜促炎菜品比例最高。
但是,这项研究的结果并不构成饮食建议,实际上,各大菜系均存在膳食不平衡。那么,为了健康,我们应该怎么吃?

图 | 悠船AI
川菜最抗炎,徽菜最促炎
这项研究是这么做的。首先,研究者利用烹饪教科书和两本分别于1996年、2005年出版的食谱,对八大菜系中的980道菜肴进行了分析,包括鲁菜(131道)、川菜(129道)、粤菜(116道)、闽菜(125道)、苏菜(120道)、浙菜(125道)、湘菜(112道)、徽菜(122道)。每道菜所用到的食材以及重量、做菜过程中原始材料的损失等信息都被收集。
接下来,所有食材被分为了26个食物组,研究团队计算了每个食物组在不同菜系中的使用率和用量,并利用《中国食物成分表》计算了每道菜的热量和营养成分。
根据以上信息,研究团队分别按标准重量(每100克)和能量(每2056千卡)计算了菜肴的能量和营养成分,还计算了每道菜的膳食炎症指数(DII),并根据结果将菜肴分成了3个组:促炎组(DII>0)、中性组(DII=0)、抗炎组(DII<0)。

图 | 即梦AI
结果显示,不同菜系在能量和营养成分上存在显著差异。
以标准重量(每100克)计算时,川菜能量和脂肪含量最高,闽菜最低。浙菜碳水化合物含量最高,川菜最低。此外,川菜中膳食纤维、β-胡萝卜素、硫胺素、维生素E和维生素B6水平最高。鲁菜中β-胡萝卜素、烟酸、维生素C和维生素B6含量最低。
以能量(每2056千卡)计算时,川菜总脂肪、膳食纤维和维生素C含量最高,碳水化合物、蛋白质、胆固醇、烟酸、叶酸、维生素B12和维生素D的含量最低。相比之下,闽菜碳水化合物、胆固醇、核黄素、叶酸、维生素B12和维生素D含量最高,脂肪含量最低。此外,徽菜蛋白质、硫胺素、烟酸和维生素A量最高,而膳食纤维和维生素E含量最低。
而在DII方面,不同菜系之间也存在显著差异。
DII从低到高排名的顺序为:川菜、鲁菜、浙菜、粤菜、湘菜、苏菜、闽菜和徽菜。徽菜中促炎菜品的比例占比最高,达到63.14%,川菜中促炎菜品比例最低,为41.9%。

八种菜系所含菜肴中DII亚组百分比,本次研究中没有发现DII=0的菜肴丨原图:参考资料[1]
在进一步的聚类分析中,研究发现,川菜中高脂肪-蛋白质菜品比例最高,其次是鲁菜,最低是徽菜。
研究团队指出,按标准重量计算时川菜在能量和脂肪含量方面占主导地位,主要归因于植物油和动物脂肪的使用。浙菜碳水化合物含量高,可能是由于爱使用淀粉类食物和游离糖。徽菜的高蛋白质含量,可能是源于家禽、水产食品和畜肉数量多。
一般来说,高脂肪-蛋白菜肴与肉类饮食有关,而高碳水化合物-膳食纤维菜肴对应植物性饮食,在植物性饮食中通常会观察到较低的DII评分。然而在这项研究中,川菜被认为是最具抗炎作用的菜系、徽菜是最促炎的,这一结果挑战了之前的观点。研究者猜测,这可能与川菜中丰富的膳食纤维含量有关,膳食纤维能够抵消一部高脂饮食的危害,同时也表明单一的营养成分并不能完全决定饮食的炎症潜力。
这项研究提供了关于中国八大菜系营养成分和DII的信息,但它也有局限性。
首先,研究的数据来源于烹饪书籍,其中的菜品无法完全代表实际的饮食习惯,厨师在烹饪过程中可能会根据个人经验和口味偏好等调整食材和调料,因此实际菜品的营养成分和DII可能与研究结果存在一定差异。
其次,《中国食物成分表》中虽然包含了计算DII所需要的大部分营养素的数据,但仍有一些参数的数据是缺失的,比如反式脂肪酸、黄烷-3-醇、黄酮等,可能导致DII的计算不够准确。此外,DII的设计主要基于西方饮食模式,应用于中国饮食时可能需要进一步调整和完善。
膳食炎症指数,可能与某些疾病有关
很多因素可以影响机体的炎症水平,膳食是其中一种,并且可以调控。这里的"炎症",指的是慢性低度炎症,以机体高水平的促炎因子和低水平的抗炎因子为特征,不同于感染或组织损伤引起的急性炎症反应。
膳食可以通过不同的模式、食物、营养素影响机体的慢性炎症水平。比如地中海膳食模式(富含水果、蔬菜、全谷物等),鱼类、蔬菜和水果等食物,膳食纤维、维生素C、维生素E等营养素与较低水平的慢性炎症有关。而饱和脂肪、富含大量红肉和精制碳水化合物的饮食模式可能增加机体的炎症水平。
DII便是一种用来评估饮食抗炎或促炎潜力的工具,它由美国南卡罗来纳大学研究人员开发,包含45种膳食组分(食物、营养素、其他具有生物活性的食物成分)。DII得分较高,表明膳食具有促炎倾向,得分较低表明膳食具有抗炎倾向。

图中为DII的45种膳食组分。DII得分的计算通常是通过膳食调查,获得膳食摄入量数据,然后将每种膳食组分摄入量标准化变换,然后乘以每种膳食组分相应的炎症效应并求和,最终得出总膳食炎症指数得分丨参考资料[4]
在以往的研究中,DII被发现可能与多种疾病有关。
比如在一项涉及5万多名中国中老年受试者的研究中,发现高血压患者的DII得分显著高于非高血压患者,且随着DII得分的增加,高血压的患病比例呈上升趋势。又比如一项涵盖14项研究的荟萃分析显示,与DII得分最低类别的个体相比,DII得分最高类别的个体,心血管疾病发病率和死亡率增加36%,且DII评分每增加1分,心血管疾病风险和死亡率风险增加8%。
此外,较高的DII可能还与2型糖尿病、妊娠期不良妊娠结局、某些肿瘤(如结直肠癌)、抑郁等精神疾病等有关。
但需要强调的是,DII得分只是提示膳食促炎或抗炎的倾向,并不能完全反映饮食在个体身上最终的影响。一方面,个体差异会导致不同的人对同样食物的反应不同,这可能与遗传、健康状况甚至是肠道菌群差异有关。另一方面,饮食具有复杂性,食物之间的相互作用、食物的加工烹饪方式等,都可能影响结果。此外,其他生活方式,如运动水平、睡眠质量、压力水平等,也会共同参与膳食对机体炎症水平的影响。

图 |即梦AI
从菜谱到实际饮食,八大菜系各有各的不均衡
除了上述研究,目前对比八大菜系营养指标的研究数量不多,结论多为各菜系营养成分差异显著,但均存在膳食不平衡。
2021年的一项研究采用类似的研究方法,根据《中国八大菜系菜谱选》,分析了八大菜系的576个菜品,所得结果与上述研究类似。
在菜品所含能量方面,超过半数闽菜和浙菜属于低能量类,超过半数鲁菜、川菜、苏菜和湘菜为中能量类,川菜、闽菜和徽菜的高能量菜品超过10%,而浙菜的高能量菜品仅占1%。

按菜品能量高低分为三类,八大菜系中各类菜品的比例 | 参考文献[5]
2002年一项研究抛开菜谱,通过询问个人食物摄入情况,对比了川、鲁、粤、苏四大菜系地区的饮食习惯。
研究者调查了540名在当地居住20年以上、50~69岁的居民,分析发现各地区居民膳食均存在不平衡,食物选择存在明显差异。成都地区居民油脂摄入量最高,水果和鱼虾摄入量最低。

所有地区居民油脂摄入量均超过推荐量,蔬菜、水果、奶类及奶制品均不足 | 参考文献[6]
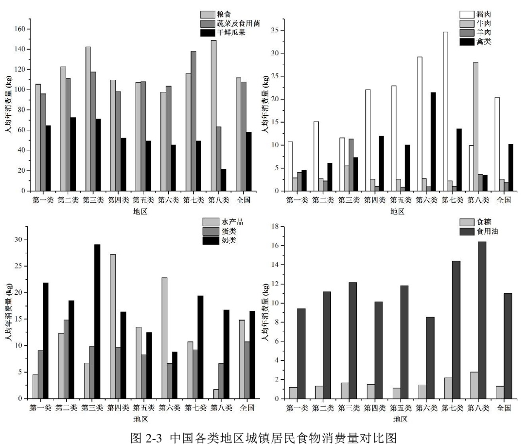
从个人扩大到整体人群的层面,2018年一项研究通过食物消费量数据,对比了我国多个地区的主要食物选择差异。
结果显示,食物选择与地理环境(距海距离、海拔、平均气温、相对湿度、降水量等)紧密联系,川渝地区蔬菜及食用菌消费为全国最高,西藏地区粮食和食用油消费最高,新疆与内蒙古的奶类消费最高,东南沿海地区水产品消费量最高。


川渝地区肉类及食用油消费量仍位列前茅 | 参考文献[7]
另外,这项研究根据膳食研究发布的人均盐摄入量数据,绘制了21个省(市、自治区)的咸味地图,发现各地区盐摄入量均超过目前膳食指南推荐量。

食盐摄入分布,总体上有北方高于南方的趋势。河南盐摄入量最高,人均日摄入12g,北京、辽宁、陕西其次,为11.7g,四川最低,为5.6g | 参考文献[7]
为了健康,应该吃哪个菜系的菜?
经过多个的角度对比,到底哪个菜系最营养健康呢?
《中国居民膳食指南(2022)》提出,以东南沿海一带(浙江、上海、江苏、福建、广东)的膳食模式代表我国“东方健康膳食模式”,作为健康示范。选择这类膳食的原因是,它具有蔬菜水果丰富,常吃鱼虾等水产品、大豆制品和奶类,烹调清淡少盐等优点,且该地区居民高血压及心血管疾病发生率和死亡率较低、预期寿命较高。
当然,这不是建议全国所有人都去吃浙菜、苏菜、闽菜或粤菜。每个菜系中都有健康的菜品,每一道菜都有相对健康的做法,比如,川菜也有脂肪含量低的,苏菜也可以做得不那么甜。
只要遵循膳食指南的准则,每个菜系都可以在保留风味的基础上,搭配得营养健康。
对于多数健康成年人,膳食指南推荐:
每天摄入12种以上食物,每周25种以上。
谷类食物平均每天200~300g,包含全谷物和杂豆类50~150g、薯类50~100g。
新鲜蔬菜每天不少于300g,深色蔬菜占1/2。
新鲜水果每天200~350g。
奶制品摄入量相当于每天300ml以上液态奶。
鱼、禽、蛋类和瘦肉平均每天 120~200g,每周最好吃鱼2次或300~500g,蛋类300~350g,畜禽肉300~500g。
食盐每天不超过5g,烹调油25~30g。
添加糖每天不超过50g,最好在25g以下。
其中,全中国人群最容易摄入超标的是畜肉、盐、油和添加糖,最容易摄入不足的是鱼、禽肉、蔬菜、水果、全谷物、奶类和水。

中国居民平衡膳食宝塔 | 参考文献[8]
每一个菜系,都有自己独特的风味,咸鲜、麻辣、清甜、厚重……既有地域特色,又相互影响融合。
每一个菜系,也都在营养健康上有自己的优势和劣势,无需舍弃个人口味,只需调和均衡,把膳食指南融入地方菜谱,每一方风味都可以兼顾美味与健康。
参考文献
作者:黎小球、代天医
编辑:odette
本文来自果壳,未经授权不得转载.
如有需要请联系sns@guokr.com
