

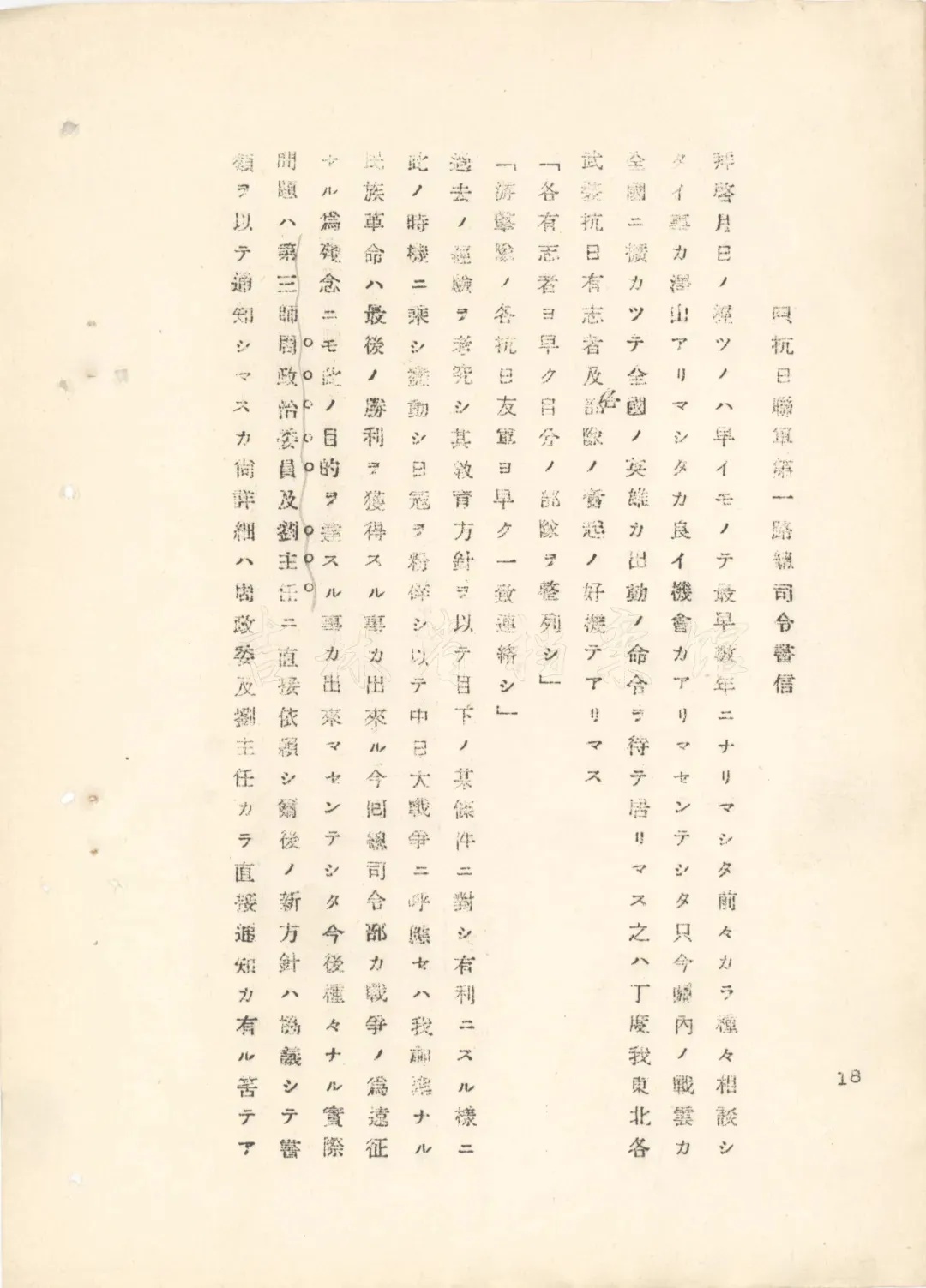
吉林省档案馆专家介绍
信件虽未标注具体日期
但其中“响应中日大战”等内容
与1937年7月
杨靖宇率部实施“远征作战”的历史节点
高度吻合

吉林大学中共党史党建研究院
院长刘信君表示
2025年是杨靖宇将军
诞辰120周年、殉国85周年
此次公布的档案对杨靖宇事迹研究
乃至东北抗联史研究
都具有重要的史料价值
这位家喻户晓的英雄
生前只有一张照片
1905年2月13日
杨靖宇出生于河南省确山县
他的原名是马尚德
1932年赴吉林省磐石县
领导抗日武装斗争
改名杨靖宇
杨靖宇在河南开封求学时
曾拍下一张照片
离家干革命前
他把照片留给了家人
这是他生前唯一一张照片
也是他给家人的唯一信物

杨靖宇生前唯一一张照片
杨靖宇是东北抗联的
主要创始人和领导者之一
他带领部队打击日寇
战功赫赫
他领导的东北抗联第一路军
像钉子一样
扎在伪满洲国的心口
吉林省档案馆曾披露
1939年10月下旬到1940年2月23日
在杨靖宇牺牲前的100多天里
他作战多达47次
日本关东军总司令梅津美治郎
把杨靖宇列为
伪满洲国第一心腹大患
悬赏两万元收买他的人头

杨靖宇画像
1939年
梅津美治郎调动伪满洲国
所有能调用的机械化部队
对杨靖宇和抗联第一路军
展开新一轮“大讨伐”
由于叛徒背叛
抗联第一路军在敌人面前无密可保
密营被日本关东军发现
所有补给一扫而空
在冰天雪地、弹尽粮绝的情况下
杨靖宇孤身一人与日寇周旋
1940年2月22日
农历正月十五元宵节
是杨靖宇人生中的最后一个夜晚
23日上午
杨靖宇叫住几位上山打柴的村民
拿出些钱
请他们帮忙买些食物和棉鞋
没想到
其中一个村民竟然劝他投降
杨靖宇沉默了一会儿
发出了充满灵魂和血性的呐喊:
“老乡,我们中国人都投降了
还有中国吗?”
这一天
日军五批200多人
围攻杨靖宇一个人
激烈的战斗持续了30多分钟
数发子弹击中他的胸膛
杨靖宇轰然倒下
壮烈殉国
时年35岁
曾经参与围捕的伪通化省警务厅长
岸谷隆一郎非常好奇
到底是什么让六天没有进食的杨靖宇
坚持了这么久?
他命人剖开杨靖宇的遗体
震惊地发现
杨靖宇的胃里没有一粒粮食
只有尚未消化的草根、树皮和棉絮

杨靖宇牺牲时的壮举
成为岸谷隆一郎挥之不去的精神折磨
日本投降前夕
岸谷隆一郎在自杀前写下遗言:
“天皇陛下发动这次侵华战争
或许是不适宜的
中国拥有像杨靖宇这样的铁血军人
一定不会亡国”

如今
靖宇小学、靖宇街、靖宇广场
……
在很多地方
都能看到抗日英雄杨靖宇的影子



杨靖宇这一响亮的名字
和东北抗日联军一起
成为中国人民抗日战争中的永恒记忆
向英雄致敬!
来源:人民日报、新华社、CCTV国家记忆
责任编辑:连翊辰
校审:姚佳森
终审:沈蔚
点亮在看
勿忘历史,吾辈自强↓↓↓