冷知识:用了一辈子身份证,却不知道“X”是什么?

图片来源:微博截图
《咬文嚼字》主编黄安靖介绍,身份证上的公民身份号码最后一位“Ⅹ”的误认、误读,曾引起社会的广泛议论,“Ⅹ”表示的是罗马数字“10”,读作shí最为妥当。
身份证号码相当于是我们的编码,通过身份证号码可以精准的找到我们,知道我们住在哪里。身份证一共有18个数字,每一个数字都有它特殊的意义。
1-2位:省、自治区、直辖市代码
3-4位:地级市、盟、自治州代码
5-6位:县、县级市、区代码
7-14位:出生年月日
15、16位:当地派出所的代码
17位:性别代码

图片来源:人民日报
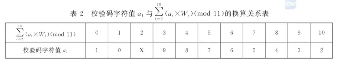
第18位是校验码,它是由编制单位按统一的公式计算出来的,主要是为了校验计算机输入居民身份证号码的前十七位数是否正确。身份证号的校验码,采取的是国际标准化组织ISO订立的《ISO7064:1983》中的“MOD11-2“校验码系统。当你无意之中输错了一个字时,这种系统可以百分百准确地帮你检验出漏洞。
它的流程繁琐,但其实也很好理解。首先,将身份证号的前17位数字,分别乘以不同的系数:7、9、10、5、8、4、2、1、6、3、7、9、10、5、8、4、2并将其结果相加。其次,用这些结果的总和除以11并得出余数。从0到10,每个余数都有它对应的数值,而这个数值也就是我们身份证号里的第18位数字了。

图片来源:国家标准《公民身份号码》GB11643—1999
其中,X是余数2对应的校验码。一共10个余数,于是会有10个校验码。而10是二位数,会让身份证号直接过渡到19位。为了便于信息管理,使用罗马数字中的X来代替阿拉伯数字10。

掌握了以上方法,你可以计算并检验自己的身份证号的科学性。学好数学,有效反诈。按照如上方法,你还能推断出自己购买的是不是盗版书籍。书本的ISBN编号也称国际标准书号,同样采取这个方法。代表着国家编码、出版社编码、类型编码的前9位数字分别乘以不同的系数,再相加,最后推导这个数是否能被11整除。假如说,还差6就可以被11整除,那这本书的第10位数,也就是校验码,最终就会被确定为6。
编辑:李玲
资料:科普中国 人民日报
*转载请注明来自上海杨浦官方微信