

“使用AED是挽救生命的最重要因素。自2020年夏天以来,我们一直在部署配备AED的无人机。”卡罗林斯卡学院临床研究和教育系心脏骤停研究中心副教授、该研究首席研究员Andreas Claesson说。
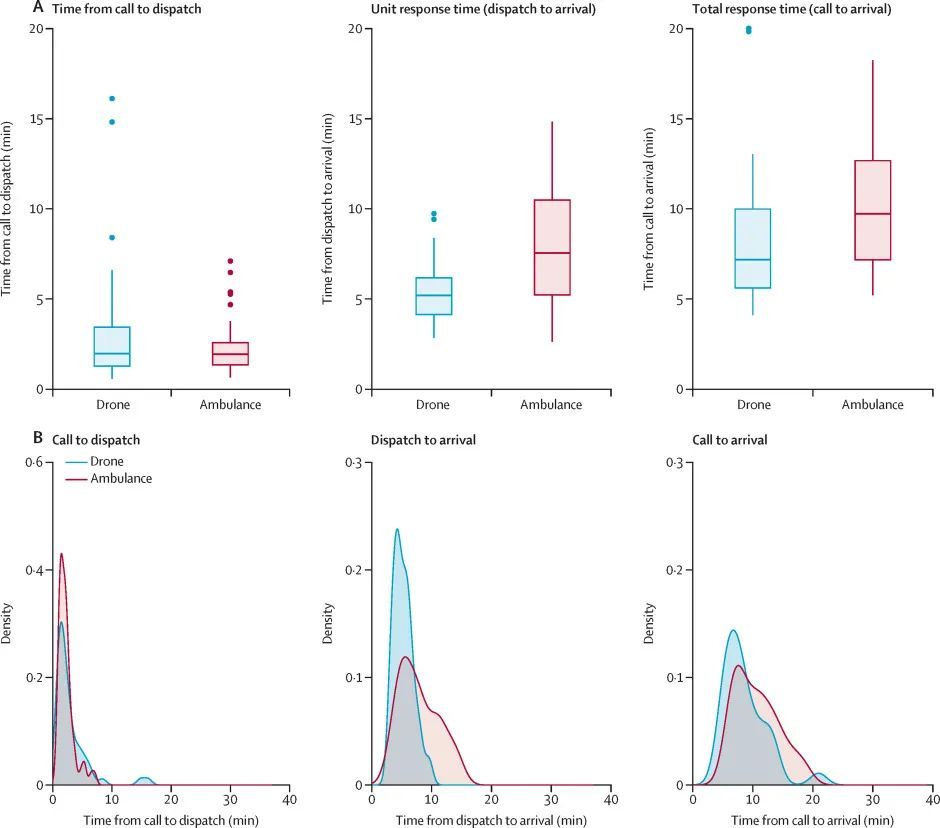
研究人员评估了通过无人机将AED直接送到疑似心脏骤停患者身边的可能性。在超过一半的案例中,无人机平均比救护车早3分钟。在患者心脏骤停的情况下,大多数病例使用了无人机递送的除颤器。研究结果发表在《柳叶刀数字健康》杂志上。

为了缩短用AED除颤的时间,卡罗林斯卡研究所与西约特兰地区、SOS 警报和无人机运营商Everdrone自2020年以来,一直在测试当救护车收到警报的同时派出一架装有AED的无人机的可能性。该项目覆盖了瑞典西部约20万人口的地区。2020年夏天在哥德堡和孔艾尔夫进行的初步研究表明,这个想法是可行且安全的。
“当前这项更全面的后续研究表明,这种方法全年都有效,无论是夏季还是冬季,白天还是黑夜。无人机可以发出警报,到达现场,运送AED,使得在救护车到达之前,现场的人有时间使用AED。”同部门的博士生、该研究第一作者Sofia Schierbeck说。

在这项研究中,无人机为55例疑似心脏骤停的患者提供了AED。其中,有37例交付发生在救护车之前,占67%,平均领先3分14秒。在18例真正的心脏骤停病例中,呼救者成功使用AED的病例有6例,占33%。
“我们的研究表明,用无人机运送AED是可能的,这节省了时间,意味着医疗急救中心可以在救护车到达之前指导呼救者在一些情况下取回并使用AED,以应对急性心脏骤停。”Andreas Claesson说。

https://www.thelancet.com/journals/landig/article/PIIS2589-7500(23)00161-9/fulltext