近日,经过学校各学院学术分委员会申报、同行专家推荐、学术委员会秘书处形式审查、全校师生公众投票、卓越校友投票和学术委员会委员投票等环节,“第二届上海大学十大学术进展”评选结果正式出炉!
本次共评选出“第二届上海大学十大学术进展”10项,“第二届上海大学十大学术进展提名奖”10项。
第二届上海大学十大学术进展
三星堆祭祀坑考古发掘与价值阐释
项目负责人:段勇(上海大学文化遗产与信息管理学院)

段勇研究员团队
上海大学考古文博专业全面参与四川广汉三星堆遗址的考古发掘、文物保护、展示研究等工作。上海大学团队发掘了三星堆三号祭祀坑,共提取文物2693件/片,其中不乏国宝级文物;参与了祭祀坑发掘中的植硅体鉴定、有机质文物保护、土遗址监测等一系列科技考古与文物保护工作,并将在考古资料整理、文化遗产展示等领域继续开展深入合作。三星堆考古发掘是近年中国考古学的标志性工作,产生了巨大而深远的社会影响,同时也为扩大上海大学考古文博学科影响力、提升专业建设提供了巨大支持。

段勇团队发掘三星堆考古遗址

三星堆遗址K3正射影像图
高温超导涂层导体成材机理及强电应用
项目负责人:蔡传兵(理学院物理系)

蔡传兵教授
本项目在国家“863”计划和上海市重大专项的支持下,针对REBaCuO材料实用化瓶颈问题,攻克了织构生长、成材效率和连续化制备等关键难题,从而实现了超导带材批量化可控制备。
主要技术创新如下: (1)发明了复合组分和多层结构,实现了原子级晶粒成核及双轴织构的有效控制;解决了厚度诱导的薄膜织构和临界电流密度下降的难题。(2)提出了REBaCuO薄膜外延生长新机理,实现了超导层的高效生长。(3)发明了动态生长和在线监测等成套新技术,创建了高温超导带材中试线,填补了国内空白。

化学法超导膜高效生长(a)液相辅助成核生长机制;(b)相图与工艺控制;(c)成材效率大幅度提高(参见蔡传兵等《物理学进展》(特邀综述)27, 467(2007);《科学通报》(特邀综述)64, 827(2019))
共晶鱼骨高合金的多级裂纹缓冲效应及其辅助的超高塑韧性
项目负责人:钟云波(材料科学与工程学院)

钟云波研究员
本项⽬通过超常冶金技术,设计制备了类鱼骨多级共晶层⽚结构的共晶高熵合金。拉伸变形时,硬相B2相中萌生高密度微裂纹缓解应⼒集中,而软性相L12相中大量的位错运动带来超优的塑性变形能力,抑制了裂纹扩展。通过两相协同变形,裂纹不仅未出现灾难性扩张,反而有效地补偿了材料整体应变,最终材料延伸率超过50%,达到铸态条件的3倍。

多级仿生鱼骨结构的拉伸性
气体动力学拟定常可压缩流二维欧拉方程的绕流问题
项目负责人:盛万成(理学院数学系)

盛万成教授
本项目研究气体动力学拟定常可压缩流二维欧拉方程的绕凸拐角向真空扩散的绕流问题。构造出二维等熵无旋拟定常流Euler 方程中心简单波,并构造出超声速流绕一凸尖角后形成中心膨胀波或中心压缩波(JHDE,2018),以及等温流的中心膨胀波或中心压缩波(AMM, 2019)。利用特征分解、先验估计和不变区域等方法,得到相互作用区域Goursat问题的整体解,从而构造性的得到了超音速流动绕凸尖角向真空扩散的流动。

气体动力学拟定常可压缩流绕流向真空扩散问题
新型多铁材料的磁电耦合性质调控研究
项目负责人:任伟(理学院物理系)

任伟教授
本项目基于量子力学第一原理计算,在PRL上提出了过渡金属硫化物双层结构的二维滑移铁电、反铁磁和铁谷耦合调控的非常规多铁新机制。在PRB等一系列论文中报道了多种二维铁电、铁磁和铁弹功能材料的奇特效应及其微观解释。之后,应Nature主刊邀请评述了稀土氧化物GdMn2O5单晶在磁场下的一种由拓扑状态保护的类似“曲轴(crankshaft)”的磁电开关及其理论模型的物理解释。项目成果对解决量子材料计算物理的基础科学问题具有重大意义,是在国内外学术界产生重大影响的基础理论研究成果,所属领域是量子材料和计算物理、电子信息技术的交叉学科。

柔性机器人与微纳操作
项目负责人:田应仲(机电工程与自动化学院)

柔性机器人与微纳操作研究团队
本课题针对柔性机器人高柔顺末端刚度不足、自感知效果不佳等难题,发明了强动态干扰下智能感知与精密作业技术,实现多驱动协同刚度高效调节以及多模态信息融合自感知,变刚度效率提升90%,目标预测准确率达98.1%;针对微纳操作精度难实现、传动行程难保证等挑战,提出多维大行程柔顺传动机构设计与精密平台动态迟滞补偿控制技术,实现0.19μm和0.37μrad直线/转角定位精度,使耦合位移误差减小4倍以上。项目研究成果引领国内外相关技术前沿,授权发明专利32项,发表包括Nature子刊在内的高水平论文36篇,服务相关企业产生经济效益累计达3亿元。
材料基因工程专用数据库平台建设及示范应用
项目负责人:钱权(计算机工程与科学学院)

钱权研究员
本成果以材料基因专用数据库为基础,全面发展了利用数据科学方法对材料“成分一工艺一结构一性能”内在关系进行挖掘的材料信息学,并在铝基复合材料、陶瓷涂层、特殊钢等多种先进材料进行应用示范。

材料基因专用数据库平台

高纯铟智能生产管理系统
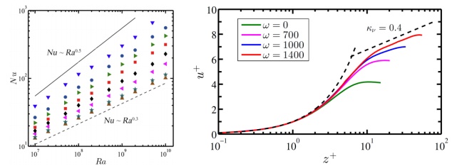
振动热湍流的结构及输运机理研究
项目负责人:周全(力学与工程科学学院)

周全教授
湍流是流体运动的普遍形态,是流体力学核心问题,也是世纪难题。本项目发现了振动热湍流的新机理,突破传统流体边界层限制传热的瓶颈,实现了湍流传热效率的大幅提升,为工程应用中增强传热散热开辟了新途径;揭示了振动将引发流体边界层的“层流-湍流转捩”,从而传热规律将由经典标度律逐步过渡到终极态标度律。

振动热湍流的新机理

振动引发流体边界层的“层流-湍流转捩”
人工智能与人的“新异化”
项目负责人:孙伟平(马克思主义学院)

孙伟平教授
本项目立足马克思主义哲学的人学立场和异化理论,对人工智能这种尚未成熟的革命性、颠覆性技术及其应用后果进行了深刻的哲学反思和理智的价值评估,全面剖析了人工智能所导致的新异化的表现、本质,探索了消除异化、促进人的自由全面发展的方式和路径。
用于肿瘤精准治疗的声动力纳米平台的创建
项目负责人:潘登余(环境与化学工程学院)

潘登余研究员
制约声敏剂临床转化的瓶颈在于:(1)电子-空穴对的复合导致声动力活性的严重下降。(2)纳米声敏剂在体内长期富集导致安全隐患的问题。本项目创建诊断与治疗为一体的多功能碳点纳米医学平台,将为肿瘤精准治疗提供了全新的范式。


获得“第二届上海大学十大学术进展提名奖”的分别是:
第二届上海大学十大学术进展
提名奖
序号 | 负责人 | 成果名称 |
1 | 赵彦春 | 中国诗歌外译 |
2 | 郭亮 | 西方近代中国沿海的图绘及地缘政治、贸易交流丛考 |
3 | 赵春华 | 重大疾病的干细胞新药再生医学技术及诊治策略 |
4 | Guillaume Marois | 中国低生育率和老龄化对中国未来经济发展的影响 |
5 | 肖瑛 | “家”作为方法 |
6 | 杨炯 | 具有自主知识产权的计算数据库建立与热电材料应用 |
7 | 胡宁 | 楚简诗类文献与诗经学要论丛考 |
8 | 许婧靓 | 基于分子识别微传感器的癌症干细胞精准调控研究 |
9 | 鲍垠桦 | 高比能长寿命刚柔复合柔性锂离子电池 |
10 | 马啸 | 文化遗产材料病害机理研究 |
【上海大学融媒体中心】
来源:发展规划处(校学术委员会秘书处)
编辑:石鑫赟
责编:周婷南