剥开层层包装才看到茶叶?茶叶装进超大礼盒?9月1日起,再过度包装就涉嫌违法啦!市场监管总局于2021年8月10日发布强制性国家标准GB 23350-2021《限制商品过度包装要求 食品和化妆品》,该标准将于今年9月1日正式实施。2年的过渡期中,相关企业提前消化旧包装,按照新标准设计新包装,确保9月1日销售产品符合要求。9月1日后,不符合新标准的产品一律不得生产、销售和进口。

GB 23350-2021的具体内容有哪些?新华日报·交汇点记者带你来了解!
适用范围
标准规定了限制食品和化妆品过度包装的要求、检测和判定规则。适用于31类食品,16类化妆品销售包装,不适用于赠品或非卖品。
包装要求
标准从包装成本、包装层数和包装空隙率三个方面进行了规定。
【包装成本】
生产组织应采取措施,控制除直接与内装物接触的包装之外所有包装的成本不超过产品销售价格的20%。
例:某茶叶包装采购价格(第2层及以上的包装价格)12.6元,该茶叶的合同销售价格79元。
该茶叶包装成本与销售价格比率是15.9%<20%,该产品包装成本合格。
【包装层数】
粮食及其加工品、月饼及粽子不应超过三层,其他商品(含茶叶及其制品)不应超过四层。
包装层数计算方法:
(1)直接接触内装物的包装为第一层,依次类推,最外层包装为第N层,N即为包装的层数。没有完全包裹内装物的不算一层。
(2)直接接触内装物的属于产品固有属性的材料层(如粽叶、竹筒、天然或胶原蛋白肠衣、空心胶囊等),以及紧贴销售包装外且厚度低于0.03mm的薄膜不计算在内。


(3)同一包装中若含有包装层数不同的商品,仅计算对包装层数有限量要求的商品的包装层数。对包装层数有限量要求的商品分别计算其包装层数,并根据包装层数限量要求判定该商品是否符合要求。
【包装空隙率】
食品和化妆品包装空隙率符合表1的规定。

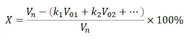
商品的形态不同,一般来说固态产品的单位是g;液态产品的单位是mL。包装空隙率的计算如下:

公式中,k值由标准直接给出了,如:茶叶及相关制品取13、糕点取12、液态护发清洁类化妆品取9……;内装物体积以商品标注的净含量进行换算,1mL或1g内装物换算为1000mm3计算。
注意:对于包装内装有两种及两种以上食品或化妆品的综合商品(形成综合商品的两种及两种以上商品,必须是同为食品或同为化妆品),如属于不同净含量的同类商品,应对照单件净含量最大的产品所对应的空隙率要求判定是否合格。如属于不同种类的食品或化妆品,则要按各自对应的必要空间系数(k)不同,计算时应分别取不同k值。综合商品的包装孔隙率根据以下公式计算:

判定规则
商品包装的包装空隙率、包装层数、包装成本有一项不符合标准规定,则判该商品的包装为过度包装。
以茶叶为例,包装空隙率、包装层数和包装成本,有一项不合格,则判定茶叶的包装为过度包装。对于一层包装茶叶产品,不需要计算空隙率。
其中包装层数和包装成本按照之前规则判断,比较便利,包装空隙率的计算比较繁琐,重点推荐茶叶包装空隙率快速判定方法:
第一步,找出茶叶总净含量:确定是否存在小包装,最小包装净含量是多少,根据最小包装净含量查表1,确定空隙率。(1-5克(含):空隙率70%;5-15克(含):空隙率60%;15-30克(含):空隙率50%;30-50克(含):空隙率40%;50克以上:空隙率30%);
第二步,计算出允许的最大外包装体积:允许的最大外包装体积=13×茶叶总净含量/(1-空隙率);
第三步,测量茶叶产品的外包装体积;
第四步,将允许的最大外包装体积和实测的外包装体积进行比较,若实测外包装体积大于允许的最大外包装体积,则空隙率不符合标准要求,如果实测外包装体积小于等于允许的最大外包装体积,则空隙率合格。
根据上述空隙率简易判定规则,我们对于常见净含量茶叶给出允许的最大外包装体积,具体见下表(以厘米计)。

生产企业和消费者在生产或消费过程中可根据此表对商品是否过度包装进行初步判定。
《中华人民共和国标准化法》第二条规定:强制性标准必须执行。第二十五条规定:不符合强制性标准的产品、服务,不得生产、销售、进口或者提供。《中华人民共和国固体废物污染环境防治法》第六十八条第二款规定:生产经营者应当遵守限制商品过度包装的强制性标准,避免过度包装。请广大茶叶生产、销售企业严格落实国家标准要求,秉持绿色低碳理念,对产品包装进行简约化、人性化设计,做抵制茶叶过度包装的践行者。
新华日报·交汇点记者 洪叶 许海燕