
2023年毕业季
有这样一位幸福的女生
在毕业典礼上
同时收获了学位证和求婚戒指


6月15日,湖南工业大学举行2023届毕业典礼暨学位授予仪式。在硕士研究生学位授予仪式上,该校广播电视专业毕业生胡同学在收获学位证的同时,也收获了男友现场求婚、为她戴上戒指的甜蜜,他们开心的合影刷屏了很多人的朋友圈。
6月16日,记者联系上已经回到老家的胡同学,听她讲述了求婚背后的爱情与奋斗故事。

胡同学表示,她和男友都是安徽人,两人是在本科考研时相识相恋的,在一起已有5年了。在一起准备考研的时候,贴心的男友会早起去买早餐、帮她占座。不过,第一次考研胡同学没有考上自己的“梦中情校”,迟疑中,男朋友提出“一起再考”。
在相互支持与鼓励中,胡同学第二年考上了湖南工业大学,男朋友在考研的同时还争取到一份不错的工作,于是选择了在家乡就业。胡同学说:“可以说考研这条路上如果没有他的陪伴,我是坚持不下来的,所以毕业典礼对我们来说意义非凡,他也是请年假来到了湖南。”
回忆读研三年,胡同学感动地说:“我们虽然是异地,但我做的很多重大决定都是和他商量的。他给了我非常大的支持,也非常理解我。”胡同学还透露,这次不仅男朋友来株洲参加了她的毕业典礼,男友的父母也陪同一起来了。
也因此,说起男友在毕业典礼上向自己求婚的场景,胡同学直言“很开心”,虽然事先并不完全知情,但也不意外。她还动情地表示,男友平时是比较腼腆内敛的人,在毕业典礼这样的场合求婚,“他应该是鼓足了很大的勇气的”。

参加完毕业典礼后,胡同学已经回到了安徽,她表示“这两天收到了太多的祝福,特别开心”,并向大家表达了感谢。她坦言“同学已经开始催婚了”,因为毕业的时候同学们也都很不舍,约好无论谁结婚生子一定要到现场,她也从大家的催婚中感受到同学们想早点再见面的思念。
恭喜胡同学
25岁的她
将开启新的生活与奋斗

本期的
上海共青团微信公众号影响力排行榜
也准时出炉啦!
赶紧来看↓

一周点评
☆爱心暑托班,快乐并不简单!作为市政府实事项目,2023年上海市小学生爱心暑托班的关注度不言而喻。在本周的热文榜中,更是有多篇相关推文上榜。浦东青年发布《2023年浦东爱心暑托班来啦!宝爸宝妈们看过来~(附详细报名方式)》,青春杨浦发布《2023年杨浦区小学生爱心暑托班来啦!6月20日开启报名!》,同时,青春徐汇、青春宝山、青春松江、青春虹口等都发布了相关推文,全面细致地介绍了爱心暑托班的办班情况和报名方式,真是“一文在手,报名不愁!”

2023年爱心暑托班明日开始报名!全市579个办班点!点击图片查询
☆难忘毕业季,情谊天长地久!提交论文,完成答辩,收获心动offer,拿到上岸通知……青春同济发布《【抽奖】在六月,背上你的“毕业行装”!》,给毕业同济学子们送上惊喜大礼包,礼包里的每一个礼物都包含母校的心意。华政青年发布《嘿!这是我们的毕业照!》,用镜头记录下毕业生的青春倩影,记录下属于他们的专属回忆!小花梨发布《“研”值爆表,全员上岸!快来感受华理这个寝室复制粘贴般的优秀!》,激励着华理青年一往无前,书写属于自己的绚烂篇章。




嘿!这是华政青年的毕业照!
☆此外,本期还有多篇文章投票类、公示类文章登上热文榜单。青声入微发布《第五届“上海公安十佳辅警”评选活动重磅来袭!》、浦东青年发布《学员招募 | “青年种子计划” 2023年浦东新区优秀大学生社会实践活动开始报名啦!》、青春徐汇发布《青年发展型城区 | “音”你而来!探索街边的秘密:博兰斯勒钢琴定制中心》。
一周榜单




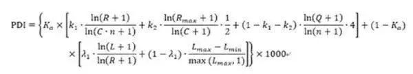
PDI指数是什么
青春上海携手上海交通大学大数据与传播创新实验室(T-Lab)打造全新的PDI(Pandata Index)全景数据评估指数,拒绝过度关注点赞数,更认真地统计峰值,认同潜力值,立志于更科学地为新媒体传播做测算:

文章发布时段:2023年6月11日~2023年6月17日
数据收录时间:2023年6月19日 10:00
责任编辑:霸天萌
校审:林桂人
终审:扬清

“转发”“点赞”“在看”三连
祝福胡同学!
↓↓↓